Regulations (Standards - 29 CFR)
Sampling and Analysis - Non-mandatory - 1926.1101 App B

Regulations (Standards - 29 CFR) - Table of Contents Regulations (Standards - 29 CFR) - Table of Contents
• Part Number: 1926
• Part Title: Safety and Health Regulations for Construction
• Subpart: Z
• Subpart Title: Toxic and Hazardous Substances
• Standard Number: 1926.1101 App B
• Title: Sampling and Analysis - Non-mandatory

____________________________________________________________________

                                                    Matrix
____________________________________________________________________

Matrix:
 OSHA Permissible Exposure Limits:
   Time Weighted Average.........................  0.1 fiber/cc
   Excursion Level (30 minutes)..................  1.0 fiber/cc
Collection Procedure:
A known volume of air is drawn through a 25-mm diameter cassette
   containing a mixed-cellulose ester filter. The cassette must be
   equipped with an electrically conductive 50-mm extension cowl.
   The sampling time and rate are chosen to give a fiber density of
   between 100 to 1,300 fibers/mm2 on the filter.
____________________________________________________________________
____________________________________________________________________

____________________________________________________________________

Recommended Sampling Rate......................  0.5 to 5.0 liters/
                                                    minute (L/min)
Recommended Air Volumes:
 Minimum......................................  25 L
 Maximum......................................  2,400 L
___________________________________________________________________

Analytical Procedure:

A portion of the sample filter is cleared and prepared for asbestos fiber counting by Phase Contrast Microscopy (PCM) at 400X.

Commercial manufacturers and products mentioned in this method are for descriptive use only and do not constitute endorsements by USDOL-OSHA. Similar products from other sources can be substituted.

1. Introduction

This method describes the collection of airborne asbestos fibers using calibrated sampling pumps with mixed-cellulose ester (MCE) filters and analysis by phase contrast microscopy (PCM). Some terms used are unique to this method and are defined below: Asbestos: A term for naturally occurring fibrous minerals. Asbestos includes chrysotile, crocidolite, amosite (cummingtonite-grunerite asbestos), tremolite asbestos, actinolite asbestos, anthophyllite asbestos, and any of these minerals that have been chemically treated and/or altered. The precise chemical formulation of each species will vary with the location from which it was mined. Nominal compositions are listed:

Chrysotile................  Mg(3)Si(2)O(5)(OH)(4)
Crocidolite...............  Na(2)Fe(3)(2)+Fe(2)(3)+Si(8)O(22)(OH)(2)
Amosite...................  (Mg,Fe)(7)Si(8)O(22)(OH)(2)
Tremolite-actinolite......  Ca(2)(Mg,Fe)(5)Si(8)O(22)(OH)(2)
Anthophyllite.............  (Mg,Fe)(7)Si(8)O(22)(OH)(2)

Asbestos Fiber: A fiber of asbestos which meets the criteria specified below for a fiber.

Aspect Ratio: The ratio of the length of a fiber to it's diameter (e.g. 3:1, 5:1 aspect ratios).

Cleavage Fragments: Mineral particles formed by comminution of minerals, especially those characterized by parallel sides and a moderate aspect ratio (usually less than 20:1).

Detection Limit: The number of fibers necessary to be 95% certain that the result is greater than zero.

Differential Counting: The term applied to the practice of excluding certain kinds of fibers from the fiber count because they do not appear to be asbestos.

Fiber: A particle that is 5 um or longer, with a length-to-width ratio of 3 to 1 or longer.

Field: The area within the graticule circle that is superimposed on the microscope image.

Set: The samples which are taken, submitted to the laboratory, analyzed, and for which, interim or final result reports are generated.

Tremolite, Anthophyllite, and Actinolite: The non-asbestos form of these minerals which meet the definition of a fiber. It includes any of these minerals that have been chemically treated and/or altered.

Walton-Beckett Graticule: An eyepiece graticule specifically designed for asbestos fiber counting. It consists of a circle with a projected diameter of 100 plus or minus 2 um (area of about 0.00785 mm(2)) with a crosshair having tic-marks at 3-um intervals in one direction and 5-um in the orthogonal direction. There are marks around the periphery of the circle to demonstrate the proper sizes and shapes of fibers. This design is reproduced in Figure 1. The disk is placed in one of the microscope eyepieces so that the design is superimposed on the field of view.

1.1. History

Early surveys to determine asbestos exposures were conducted using impinger counts of total dust with the counts expressed as million particles per cubic foot. The British Asbestos Research Council recommended filter membrane counting in 1969. In July 1969, the Bureau of Occupational Safety and Health published a filter membrane method for counting asbestos fibers in the United States. This method was refined by NIOSH and published as P & CAM 239. On May 29, 1971, OSHA specified filter membrane sampling with phase contrast counting for evaluation of asbestos exposures at work sites in the United States. The use of this technique was again required by OSHA in 1986. Phase contrast microscopy has continued to be the method of choice for the measurement of occupational exposure to asbestos.

1.2. Principle

Air is drawn through a MCE filter to capture airborne asbestos fibers. A wedge shaped portion of the filter is removed, placed on a glass microscope slide and made transparent. A measured area (field) is viewed by PCM. All the fibers meeting defined criteria for asbestos are counted and considered a measure of the airborne asbestos concentration.

1.3. Advantages and Disadvantages

There are four main advantages of PCM over other methods:

(1) The technique is specific for fibers. Phase contrast is a fiber counting technique which excludes non-fibrous particles from the analysis.

(2) The technique is inexpensive and does not require specialized knowledge to carry out the analysis for total fiber counts.

(3) The analysis is quick and can be performed on-site for rapid determination of air concentrations of asbestos fibers.

(4) The technique has continuity with historical epidemiological studies so that estimates of expected disease can be inferred from long-term determinations of asbestos exposures.

The main disadvantage of PCM is that it does not positively identify asbestos fibers. Other fibers which are not asbestos may be included in the count unless differential counting is performed. This requires a great deal of experience to adequately differentiate asbestos from non-asbestos fibers. Positive identification of asbestos must be performed by polarized light or electron microscopy techniques. A further disadvantage of PCM is that the smallest visible fibers are about 0.2 um in diameter while the finest asbestos fibers may be as small as 0.02 um in diameter. For some exposures, substantially more fibers may be present than are actually counted.

1.4. Workplace Exposure

Asbestos is used by the construction industry in such products as shingles, floor tiles, asbestos cement, roofing felts, insulation and acoustical products. Non-construction uses include brakes, clutch facings, paper, paints, plastics, and fabrics. One of the most significant exposures in the workplace is the removal and encapsulation of asbestos in schools, public buildings, and homes. Many workers have the potential to be exposed to asbestos during these operations.

About 95% of the asbestos in commercial use in the United States is chrysotile. Crocidolite and amosite make up most of the remainder. Anthophyllite and tremolite or actinolite are likely to be encountered as contaminants in various industrial products.

1.5. Physical Properties

Asbestos fiber possesses a high tensile strength along its axis, is chemically inert, non-combustible, and heat resistant. It has a high electrical resistance and good sound absorbing properties. It can be weaved into cables, fabrics or other textiles, and also matted into asbestos papers, felts, or mats.

2. Range and Detection Limit

2.1. The ideal counting range on the filter is 100 to 1,300 fibers/mm(2). With a Walton-Beckett graticule this range is equivalent to 0.8 to 10 fibers/field. Using NIOSH counting statistics, a count of 0.8 fibers/field would give an approximate coefficient of variation (CV) of 0.13.

2.2. The detection limit for this method is 4.0 fibers per 100 fields or 5.5 fibers/mm(2). This was determined using an equation to estimate the maximum CV possible at a specific concentration (95% confidence) and a Lower Control Limit of zero. The CV value was then used to determine a corresponding concentration from historical CV vs fiber relationships. As an example:

Lower Control Limit (95% Confidence) = AC -- 1.645(CV)(AC)

Where:

AC = Estimate of the airborne fiber concentration (fibers/cc) Setting the
    Lower Control Limit = 0 and solving for CV:
0  = AC -- 1.645(CV)(AC)
CV = 0.61

This value was compared with CV vs. count curves. The count at which CV = 0.61 for Leidel-Busch counting statistics or for an OSHA Salt Lake Technical Center (OSHA-SLTC) CV curve (see Appendix A for further information) was 4.4 fibers or 3.9 fibers per 100 fields, respectively. Although a lower detection limit of 4 fibers per 100 fields is supported by the OSHA-SLTC data, both data sets support the 4.5 fibers per 100 fields value.

3. Method Performance -- Precision and Accuracy

Precision is dependent upon the total number of fibers counted and the uniformity of the fiber distribution on the filter. A general rule is to count at least 20 and not more than 100 fields. The count is discontinued when 100 fibers are counted, provided that 20 fields have already been counted. Counting more than 100 fibers results in only a small gain in precision. As the total count drops below 10 fibers, an accelerated loss of precision is noted.

At this time, there is no known method to determine the absolute accuracy of the asbestos analysis. Results of samples prepared through the Proficiency Analytical Testing (PAT) Program and analyzed by the OSHA-SLTC showed no significant bias when compared to PAT reference values. The PAT samples were analyzed from 1987 to 1989 (N = 36) and the concentration range was from 120 to 1,300 fibers/mm(2).

4. Interferences

Fibrous substances, if present, may interfere with asbestos analysis.

Some common fibers are:

Fiberglass
Anhydrite
Plant Fibers
Perlite Veins
Gypsum
Some Synthetic Fibers
Membrane Structures
Sponge Spicules
Diatoms
Microorganisms
Wollastonite

The use of electron microscopy or optical tests such as polarized light, and dispersion staining may be used to differentiate these materials from asbestos when necessary.

5. Sampling

5.1. Equipment

5.1.1. Sample assembly (The assembly is shown in Figure 3). Conductive filter holder consisting of a 25-mm diameter, 3-piece cassette having a 50-mm long electrically conductive extension cowl. Backup pad, 25-mm, cellulose. Membrane filter, mixed-cellulose ester (MCE), 25-mm, plain, white, 0.4 to 1.2-um pore size.

Notes:

(a) DO NOT RE-USE CASSETTES.

(b) Fully conductive cassettes are required to reduce fiber loss to the sides of the cassette due to electrostatic attraction.

(c) Purchase filters which have been selected by the manufacturer for asbestos counting or analyze representative filters for fiber background before use. Discard the filter lot if more than 4 fibers/ 100 fields are found.

(d) To decrease the possibility of contamination, the sampling system (filter-backup pad-cassette) for asbestos is usually preassembled by the manufacturer.

(e) Other cassettes, such as the Bell-mouth, may be used within the limits of their validation.

5.1.2. Gel bands for sealing cassettes.

5.1.3. Sampling pump.

Each pump must be a battery operated, self-contained unit small enough to be placed on the monitored employee and not interfere with the work being performed. The pump must be capable of sampling at the collection rate for the required sampling time.

5.1.4. Flexible tubing, 6-mm bore.

5.1.5. Pump calibration.

Stopwatch and bubble tube/burette or electronic meter.

5.2. Sampling Procedure

5.2.1. Seal the point where the base and cowl of each cassette meet with a gel band or tape.

5.2.2. Charge the pumps completely before beginning.

5.2.3. Connect each pump to a calibration cassette with an appropriate length of 6-mm bore plastic tubing. Do not use luer connectors -- the type of cassette specified above has built-in adapters.

5.2.4. Select an appropriate flow rate for the situation being monitored. The sampling flow rate must be between 0.5 and 5.0 L/min for personal sampling and is commonly set between 1 and 2 L/min. Always choose a flow rate that will not produce overloaded filters.

5.2.5. Calibrate each sampling pump before and after sampling with a calibration cassette in-line (Note: This calibration cassette should be from the same lot of cassettes used for sampling). Use a primary standard (e.g. bubble burette) to calibrate each pump. If possible, calibrate at the sampling site.

Note: If sampling site calibration is not possible, environmental influences may affect the flow rate. The extent is dependent on the type of pump used. Consult with the pump manufacturer to determine dependence on environmental influences. If the pump is affected by temperature and pressure changes, correct the flow rate using the formula shown in the section "Sampling Pump Flow Rate Corrections" at the end of this appendix.

5.2.6. Connect each pump to the base of each sampling cassette with flexible tubing. Remove the end cap of each cassette and take each air sample open face. Assure that each sample cassette is held open side down in the employee's breathing zone during sampling. The distance from the nose/mouth of the employee to the cassette should be about 10 cm. Secure the cassette on the collar or lapel of the employee using spring clips or other similar devices.

5.2.7. A suggested minimum air volume when sampling to determine TWA compliance is 25 L. For Excursion Limit (30 min sampling time) evaluations, a minimum air volume of 48 L is recommended.

5.2.8. The most significant problem when sampling for asbestos is overloading the filter with non-asbestos dust. Suggested maximum air sample volumes for specific environments are:

____________________________________________________________________
                                               |
         Environment                           |    Air Vol. (L)
________________________________________________|___________________
                                               |
Asbestos removal operations (visible dust)......| 100.
Asbestos removal operations (little dust).......| 240.
Office environments.............................| 400 to 2,400.
________________________________________________|___________________

CAUTION: Do not overload the filter with dust. High levels of non-fibrous dust particles may obscure fibers on the filter and lower the count or make counting impossible. If more than about 25 to 30% of the field area is obscured with dust, the result may be biased low. Smaller air volumes may be necessary when there is excessive non-asbestos dust in the air.

While sampling, observe the filter with a small flashlight. If there is a visible layer of dust on the filter, stop sampling, remove and seal the cassette, and replace with a new sampling assembly. The total dust loading should not exceed 1 mg.

5.2.9. Blank samples are used to determine if any contamination has occurred during sample handling. Prepare two blanks for the first 1 to 20 samples. For sets containing greater than 20 samples, prepare blanks as 10% of the samples. Handle blank samples in the same manner as air samples with one exception: Do not draw any air through the blank samples. Open the blank cassette in the place where the sample cassettes are mounted on the employee. Hold it open for about 30 seconds. Close and seal the cassette appropriately. Store blanks for shipment with the sample cassettes.

5.2.10. Immediately after sampling, close and seal each cassette with the base and plastic plugs. Do not touch or puncture the filter membrane as this will invalidate the analysis.

5.2.11. Attach and secure a sample seal around each sample cassette in such a way as to assure that the end cap and base plugs cannot be removed without destroying the seal. Tape the ends of the seal together since the seal is not long enough to be wrapped end-to-end. Also wrap tape around the cassette at each joint to keep the seal secure.

5.3. Sample Shipment

5.3.1. Send the samples to the laboratory with paperwork requesting asbestos analysis. List any known fibrous interferences present during sampling on the paperwork. Also, note the workplace operation(s) sampled.

5.3.2. Secure and handle the samples in such that they will not rattle during shipment nor be exposed to static electricity. Do not ship samples in expanded polystyrene peanuts, vermiculite, paper shreds, or excelsior. Tape sample cassettes to sheet bubbles and place in a container that will cushion the samples in such a manner that they will not rattle.

5.3.3. To avoid the possibility of sample contamination, always ship bulk samples in separate mailing containers.

6. Analysis

6.1. Safety Precautions

6.1.1. Acetone is extremely flammable and precautions must be taken not to ignite it. Avoid using large containers or quantities of acetone. Transfer the solvent in a ventilated laboratory hood. Do not use acetone near any open flame. For generation of acetone vapor, use a spark free heat source.

6.1.2. Any asbestos spills should be cleaned up immediately to prevent dispersal of fibers. Prudence should be exercised to avoid contamination of laboratory facilities or exposure of personnel to asbestos. Asbestos spills should be cleaned up with wet methods and/ or a High Efficiency Particulate-Air (HEPA) filtered vacuum.

CAUTION: Do not use a vacuum without a HEPA filter -- It will disperse fine asbestos fibers in the air.

6.2. Equipment

6.2.1. Phase contrast microscope with binocular or trinocular head.

6.2.2. Widefield or Huygenian 10X eyepieces (NOTE: The eyepiece containing the graticule must be a focusing eyepiece. Use a 40X phase objective with a numerical aperture of 0.65 to 0.75).

6.2.3. Kohler illumination (if possible) with green or blue filter.

6.2.4. Walton-Beckett Graticule, type G-22 with 100 plus or minus 2 um projected diameter.

6.2.5. Mechanical stage. A rotating mechanical stage is convenient for use with polarized light.

6.2.6. Phase telescope.

6.2.7. Stage micrometer with 0.01-mm subdivisions.

6.2.8. Phase-shift test slide, mark II (Available from PTR optics Ltd., and also McCrone).

6.2.9. Precleaned glass slides, 25 mm X 75 mm. One end can be frosted for convenience in writing sample numbers, etc., or paste-on labels can be used.

6.2.10. Cover glass #1 1/2.

6.2.11. Scalpel (#10, curved blade).

6.2.12. Fine tipped forceps.

6.2.13. Aluminum block for clearing filter (see Appendix D and Figure 4).

6.2.14. Automatic adjustable pipette, 100- to 500-uL.

6.2.15. Micropipette, 5 uL.

6.3. Reagents

6.3.1. Acetone (HPLC grade).

6.3.2. Triacetin (glycerol triacetate).

6.3.3. Lacquer or nail polish.

6.4. Standard Preparation

A way to prepare standard asbestos samples of known concentration has not been developed. It is possible to prepare replicate samples of nearly equal concentration. This has been performed through the PAT program. These asbestos samples are distributed by the AIHA to participating laboratories.

Since only about one-fourth of a 25-mm sample membrane is required for an asbestos count, any PAT sample can serve as a "standard" for replicate counting.

6.5. Sample Mounting

Note: See Safety Precautions in Section 6.1. before proceeding. The objective is to produce samples with a smooth (non-grainy) background in a medium with a refractive index of approximately 1.46. The technique below collapses the filter for easier focusing and produces permanent mounts which are useful for quality control and interlaboratory comparison.

An aluminum block or similar device is required for sample preparation.

6.5.1. Heat the aluminum block to about 70 deg.C. The hot block should not be used on any surface that can be damaged by either the heat or from exposure to acetone.

6.5.2. Ensure that the glass slides and cover glasses are free of dust and fibers.

6.5.3. Remove the top plug to prevent a vacuum when the cassette is opened. Clean the outside of the cassette if necessary. Cut the seal and/or tape on the cassette with a razor blade. Very carefully separate the base from the extension cowl, leaving the filter and backup pad in the base.

6.5.4. With a rocking motion cut a triangular wedge from the filter using the scalpel. This wedge should be one-sixth to one-fourth of the filter. Grasp the filter wedge with the forceps on the perimeter of the filter which was clamped between the cassette pieces. DO NOT TOUCH the filter with your finger. Place the filter on the glass slide sample side up. Static electricity will usually keep the filter on the slide until it is cleared.

6.5.5. Place the tip of the micropipette containing about 200 uL acetone into the aluminum block. Insert the glass slide into the receiving slot in the aluminum block. Inject the acetone into the block with slow, steady pressure on the plunger while holding the pipette firmly in place. Wait 3 to 5 seconds for the filter to clear, then remove the pipette and slide from the aluminum block.

6.5.6. Immediately (less than 30 seconds) place 2.5 to 3.5 uL of triacetin on the filter (NOTE: Waiting longer than 30 seconds will result in increased index of refraction and decreased contrast between the fibers and the preparation. This may also lead to separation of the cover slip from the slide).

6.5.7. Lower a cover slip gently onto the filter at a slight angle to reduce the possibility of forming air bubbles. If more than 30 seconds have elapsed between acetone exposure and triacetin application, glue the edges of the cover slip to the slide with lacquer or nail polish.

6.5.8. If clearing is slow, warm the slide for 15 min on a hot plate having a surface temperature of about 50 deg.C to hasten clearing. The top of the hot block can be used if the slide is not heated too long.

6.5.9. Counting may proceed immediately after clearing and mounting are completed.

6.6. Sample Analysis

Completely align the microscope according to the manufacturer's instructions. Then, align the microscope using the following general alignment routine at the beginning of every counting session and more often if necessary.

6.6.1. Alignment

(1) Clean all optical surfaces. Even a small amount of dirt can significantly degrade the image.

(2) Rough focus the objective on a sample.

(3) Close down the field iris so that it is visible in the field of view. Focus the image of the iris with the condenser focus. Center the image of the iris in the field of view.

(4) Install the phase telescope and focus on the phase rings. Critically center the rings. Misalignment of the rings results in astigmatism which will degrade the image.

(5) Place the phase-shift test slide on the microscope stage and focus on the lines. The analyst must see line set 3 and should see at least parts of 4 and 5 but, not see line set 6 or 6. A microscope/microscopist combination which does not pass this test may not be used.

6.6.2. Counting Fibers

(1) Place the prepared sample slide on the mechanical stage of the microscope. Position the center of the wedge under the objective lens and focus upon the sample.

(2) Start counting from one end of the wedge and progress along a radial line to the other end (count in either direction from perimeter to wedge tip). Select fields randomly, without looking into the eyepieces, by slightly advancing the slide in one direction with the mechanical stage control.

(3) Continually scan over a range of focal planes (generally the upper 10 to 15 um of the filter surface) with the fine focus control during each field count. Spend at least 5 to 15 seconds per field.

(4) Most samples will contain asbestos fibers with fiber diameters less than 1 um. Look carefully for faint fiber images. The small diameter fibers will be very hard to see. However, they are an important contribution to the total count.

(5) Count only fibers equal to or longer than 5 um. Measure the length of curved fibers along the curve.

(6) Count fibers which have a length to width ratio of 3:1 or greater.

(7) Count all the fibers in at least 20 fields. Continue counting until either 100 fibers are counted or 100 fields have been viewed; whichever occurs first. Count all the fibers in the final field.

(8) Fibers lying entirely within the boundary of the Walton-Beckett graticule field shall receive a count of 1. Fibers crossing the boundary once, having one end within the circle shall receive a count of 1/2. Do not count any fiber that crosses the graticule boundary more than once. Reject and do not count any other fibers even though they may be visible outside the graticule area. If a fiber touches the circle, it is considered to cross the line.

(9) Count bundles of fibers as one fiber unless individual fibers can be clearly identified and each individual fiber is clearly not connected to another counted fiber. See Figure 1 for counting conventions.

(10) Record the number of fibers in each field in a consistent way such that filter non-uniformity can be assessed.

(11) Regularly check phase ring alignment.

(12) When an agglomerate (mass of material) covers more than 25% of the field of view, reject the field and select another. Do not include it in the number of fields counted.

(13) Perform a "blind recount" of 1 in every 10 filter wedges (slides). Re-label the slides using a person other than the original counter.

6.7. Fiber Identification

As previously mentioned in Section 1.3., PCM does not provide positive confirmation of asbestos fibers. Alternate differential counting techniques should be used if discrimination is desirable. Differential counting may include primary discrimination based on morphology, polarized light analysis of fibers, or modification of PCM data by Scanning Electron or Transmission Electron Microscopy.

A great deal of experience is required to routinely and correctly perform differential counting. It is discouraged unless it is legally necessary. Then, only if a fiber is obviously not asbestos should it be excluded from the count. Further discussion of this technique can be found in reference 8.10.

If there is a question whether a fiber is asbestos or not, follow the rule:

"WHEN IN DOUBT, COUNT."

6.8. Analytical Recommendations -- Quality Control System

6.8.1. All individuals performing asbestos analysis must have taken the NIOSH course for sampling and evaluating airborne asbestos or an equivalent course.

6.8.2. Each laboratory engaged in asbestos counting shall set up a slide trading arrangement with at least two other laboratories in order to compare performance and eliminate inbreeding of error. The slide exchange occurs at least semiannually. The round robin results shall be posted where all analysts can view individual analyst's results.

6.8.3. Each laboratory engaged in asbestos counting shall participate in the Proficiency Analytical Testing Program, the Asbestos Analyst Registry or equivalent.

6.8.4. Each analyst shall select and count prepared slides from a "slide bank". These are quality assurance counts. The slide bank shall be prepared using uniformly distributed samples taken from the workload. Fiber densities should cover the entire range routinely analyzed by the laboratory. These slides are counted blind by all counters to establish an original standard deviation. This historical distribution is compared with the quality assurance counts. A counter must have 95% of all quality control samples counted within three standard deviations of the historical mean. This count is then integrated into a new historical mean and standard deviation for the slide.

The analyses done by the counters to establish the slide bank may be used for an interim quality control program if the data are treated in a proper statistical fashion.

7. Calculations

7.1. Calculate the estimated airborne asbestos fiber concentration on the filter sample using the following formula:

(For Equation A, Click Here)

where:

AC    = Airborne fiber concentration
FB    = Total number of fibers greater than 5 um counted
FL    = Total number of fields counted on the filter
BFB   = Total number of fibers greater than 5 um counted in the blank
BFL   = Total number of fields counted on the blank
ECA   = Effective collecting area of filter (385 mm(2) nominal for a
       25-mm filter.)
FR    = Pump flow rate (L/min)
MFA   = Microscope count field area (mm(2)). This is 0.00785 mm(2) for
       a Walton-Beckett Graticule.
T     = Sample collection time (min)
1,000 = Conversion of L to cc

 Note: The collection area of a filter is seldom equal to 385 mm(2). It
is appropriate for laboratories to routinely monitor the exact diameter
using an inside micrometer. The collection area is calculated according to
the formula:

Area = pi(d/2)(2)

7.2. Short-Cut Calculation

Since a given analyst always has the same interpupillary distance, the number of fields per filter for a particular analyst will remain constant for a given size filter. The field size for that analyst is constant (i.e. the analyst is using an assigned microscope and is not changing the reticle).

For example, if the exposed area of the filter is always 385 mm(2) and the size of the field is always 0.00785 mm(2) the number of fields per filter will always be 49,000. In addition it is necessary to convert liters of air to cc. These three constants can then be combined such that ECA/(1,000 x MFA) = 49. The previous equation simplifies to:

(For Equation B, Click Here)

7.3. Recount Calculations

As mentioned in step 13 of Section 6.6.2., a "blind recount" of 10% of the slides is performed. In all cases, differences will be observed between the first and second counts of the same filter wedge. Most of these differences will be due to chance alone, that is, due to the random variability (precision) of the count method. Statistical recount criteria enables one to decide whether observed differences can be explained due to chance alone or are probably due to systematic differences between analysts, microscopes, or other biasing factors.

The following recount criterion is for a pair of counts that estimate AC in fibers/cc. The criterion is given at the type-I error level. That is, there is 5% maximum risk that we will reject a pair of counts for the reason that one might be biased, when the large observed difference is really due to chance.

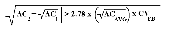
 Reject a pair of counts if:

(For Equation C, Click Here)

Where:

AC(1)   = lower estimated airborne fiber concentration
AC(2)   = higher estimated airborne fiber concentration
AC(avg) = average of the two concentration estimates
CV(FB)  = CV for the average of the two concentration estimates

If a pair of counts are rejected by this criterion then, recount the rest of the filters in the submitted set. Apply the test and reject any other pairs failing the test. Rejection shall include a memo to the industrial hygienist stating that the sample failed a statistical test for homogeneity and the true air concentration may be significantly different than the reported value.

7.4. Reporting Results

Report results to the industrial hygienist as fibers/cc. Use two significant figures. If multiple analyses are performed on a sample, an average of the results is to be reported unless any of the results can be rejected for cause.

8. References

8.1. Dreesen, W.C., et al., U.S. Public Health Service: A Study of Asbestosis in the Asbestos Textile Industry (Public Health Bulletin No. 241), U.S. Treasury Dept., Washington, DC, 1938.

8.2. Asbestos Research Council: The Measurement of Airborne Asbestos Dust by the Membrane Filter Method (Technical Note), Asbestos Research Council, Rockdale, Lancashire, Great Britain, 1969.

8.3. Bayer, S.G., Zumwalde, R.D., Brown, T.A., Equipment and Procedure for Mounting Millipore Filters and Counting Asbestos Fibers by Phase Contrast Microscopy, Bureau of Occupational Health, U.S. Dept. of Health, Education and Welfare, Cincinnati, OH, 1969.

8.4. NIOSH Manual of Analytical Methods, 2nd ed., Vol. 1 (DHEW/ NIOSH Pub. No. 77-157-A). National Institute for Occupational Safety and Health, Cincinnati, OH, 1977. pp. 239-1 -- 239-21.

8.5. Asbestos, Code of Federal Regulations 29 CFR 1910.1001. 1971.

8.6. Occupational Exposure to Asbestos, Tremolite, Anthophyllite, and Actinolite. Final Rule, Federal Register 51:119 (20 June 1986). pp. 22612-22790.

8.7. Asbestos, Tremolite, Anthophyllite, and Actinolite, Code of Federal Regulations 1910.1001. 1988. pp. 711-752.

8.8. Criteria for a Recommended Standard -- Occupational Exposure to Asbestos (DHEW/NIOSH Pub. No. HSM 72-10267), National Institute for Occupational Safety and Health, NIOSH, Cincinnati, OH, 1972. pp. III-1 -- III-24.

8.9. Leidel, N.A., Bayer, S.G., Zumwalde, R.D., Busch, K.A., USPHS/NIOSH Membrane Filter Method for Evaluating Airborne Asbestos Fibers (DHEW/NIOSH Pub. No. 79-127). National Institute for Occupational Safety and Health, Cincinnati, OH, 1979.

8.10. Dixon, W.C., Applications of Optical Microscopy in Analysis of Asbestos and Quartz, Analytical Techniques in Occupational Health Chemistry, edited by D.D. Dollberg and A.W. Verstuyft. Wash. D.C.: American Chemical Society, (ACS Symposium Series 120) 1980. pp. 13-41.

Quality Control

The OSHA asbestos regulations require each laboratory to establish a quality control program. The following is presented as an example of how the OSHA-SLTC constructed its internal CV curve as part of meeting this requirement. Data is from 395 samples collected during OSHA compliance inspections and analyzed from October 1980 through April 1986.

Each sample was counted by 2 to 5 different counters independently of one another. The standard deviation and the CV statistic was calculated for each sample. This data was then plotted on a graph of CV vs. fibers/mm(2). A least squares regression was performed using the following equation:

CV = antilog(10)[A(log(10)(x))(2)+B(log(10)(x))+C]

 where:

x = the number of fibers/mm(2)

 Application of least squares gave:

A = 0.182205
B = 0.973343
C = 0.327499

 Using these values, the equation becomes:

CV = antilog(10)[0.182205(log(10)(x))(2)-0.973343(log (10)(x))+0.327499]

Sampling Pump Flow Rate Corrections

 This correction is used if a difference greater than 5% in ambient
temperature and/or pressure is noted between calibration and sampling
sites and the pump does not compensate for the differences.

(For Equation D, Click Here)

Where:

Q(act) = actual flow rate
Q(cal) = calibrated flow rate (if a rotameter was used, the rotameter
        value)
P(cal) = uncorrected air pressure at calibration
P(act) = uncorrected air pressure at sampling site
T(act) = temperature at sampling site (K)
T(cal) = temperature at calibration (K)

Walton-Beckett Graticule

When ordering the Graticule for asbestos counting, specify the exact disc diameter needed to fit the ocular of the microscope and the diameter (mm) of the circular counting area. Instructions for measuring the dimensions necessary are listed:

(1) Insert any available graticule into the focusing eyepiece and focus so that the graticule lines are sharp and clear.

(2) Align the microscope.

(3) Place a stage micrometer on the microscope object stage and focus the microscope on the graduated lines.

(4) Measure the magnified grid length, PL (um), using the stage micrometer.

(5) Remove the graticule from the microscope and measure its actual grid length, AL (mm). This can be accomplished by using a mechanical stage fitted with verniers, or a jeweler's loupe with a direct reading scale.

(6) Let D = 100 um. Calculate the circle diameter, d(c)(mm), for the Walton-Beckett graticule and specify the diameter when making a purchase:

                             AL x D
                    d(c) = ----------
                               PL

Example:

If PL = 108 um, AL = 2.93 mm and D = 100 um,

then,

                            2.93 x 100
                   d(c) = --------------- = 2.71mm
                                108


(7) Each eyepiece-objective-reticle combination on the microscope must be calibrated. Should any of the three be changed (by zoom adjustment, disassembly, replacement, etc.), the combination must be recalibrated. Calibration may change if interpupillary distance is changed.

Measure the field diameter, D (acceptable range: 100 plus or minus 2 um) with a stage micrometer upon receipt of the graticule from the manufacturer. Determine the field area (mm(2)).

Field Area = pi(D/2)(2)
If D = 100 um = 0.1 mm, then
Field Area = pi(0.1 mm/2)(2) = 0.00785 mm(2)

The Graticule is available from: Graticules Ltd., Morley Road, Tonbridge TN9 IRN, Kent, England (Telephone 011-44-732-359061). Also available from PTR Optics Ltd., 145 Newton Street, Waltham, MA 02154 [telephone (617) 891-6000] or McCrone Accessories and Components, 2506 S. Michigan Ave., Chicago, IL 60616 [phone (312)-842-7100]. The graticule is custom made for each microscope.

(For Figure 1 of Walton-Beckett Graticule, Click Here)


                 Counts for the Fibers in the Figure
____________________________________________________________________
              |       |
Structure No. | Count |        Explanation
_______________|_______|____________________________________________
              |       |
1 to 6.......  |    1  | Single fibers all contained within the
              |       |   Circle.
7............  |  1/2  | Fiber crosses circle once.
8............  |    0  | Fiber too short.
9............  |    2  | Two crossing fibers.
10...........  |    0  | Fiber outside graticule.
11...........  |    0  | Fiber crosses graticule twice.
12...........  |  1/2  | Although split, fiber only crosses once.
_______________|_______|____________________________________________

[60 FR 33972, June 29, 1995]


Next Standard (1926.1101 App C) Next Standard (1926.1101 App C)

Regulations (Standards - 29 CFR) - Table of Contents Regulations (Standards - 29 CFR) - Table of Contents



Back to Top Back to Top www.osha.gov www.dol.gov

Freedom of Information Act |These pages are mirrored from the Occupational Safety and Health Administration General Construction Standards pages as reference links for their content in the live reporting of safety violations on active building sites by BuilderWerks users.
Courtesy of IntoText Corporation 813-968-2972 |8708 N Lynn Ave | Tampa FL 33604 |
Occupational Safety & Health Administration
200 Constitution Avenue, NW
Washington, DC 20210